Dr. Omar Zárate Navarro

Clases > calculo_d > Recursos

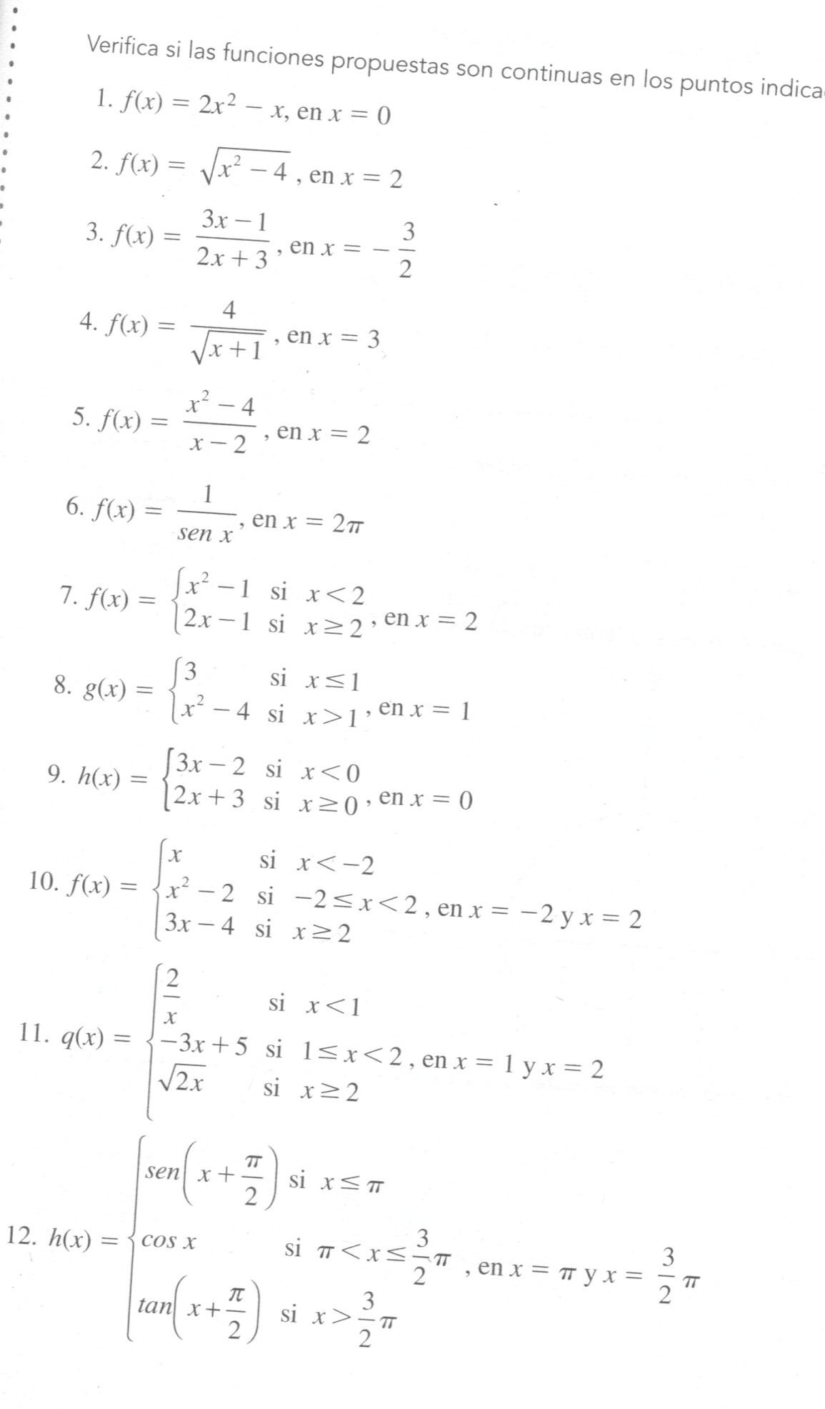
CÁLCULO DIFERENCIAL

ACTIVIDAD 05
UNIDAD 02

CONTINUIDAD






Entregar en el buzón correspondiente a la actividad en ClassRoom un reporte PDF con las características que se mencionan abajo.


Recuerda que se calificará:

  • Puntualidad en la entrega
  • Presentación y limpieza en el trabajo
  • Ortografía y Redacción

Redacta tu reporte con las siguientes características:

  • Solo archivos en PDF (Redacta en Word y Guarda como PDF)
  • Agrega a la página de presentación
    • El nombre de la actividad
    • Descripción de la actividad (Copiala y pegala de arriba en este documento)
    • Tu nombre
  • Copia y pega el código fuente en formato de texto o si es una investigación agrega la dirección fuente de donde sacaste la información.
  • De forma ordenada y clara describe la solución o la realización de la actividad
Si no te quedan claras las indicaciones pregunta al profesor




Dr. Omar Zárate Navarro
Universidad Tecnológica de Jalisco
PTC Tecnologías de la Información
Email: ozarate@utj.edu.mx